Last Updated on January 14, 2026
While working with RF circuits, oscillators, or even simple band pass filters, one basic calculation always comes up that is resonant frequency of an LC tank circuit.You know doing this manually every time using the formula is fine for learning, but in real projects it quickly becomes repetitive. So I made a simple LC Tank Circuit Resonance Calculator that helps you calculate the resonant frequency just by entering the inductor and capacitor values.
LC Tank Resonance Calculator
What is an LC Tank Circuit?
In a simple word An LC tank circuit is a combination of Inductor (L) and Capacitor (C) Connected in parallel with the energy source. At the resonant frequency range components in tank that is inductive reactance and capacitive reactance cancel each other so the tank circuit naturally oscillates, we can use this condition in RF oscillators, Tuned amplifier and oscillator and also in band pass or band selective filters.
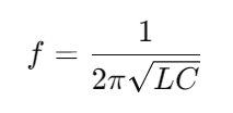
The resonant frequency of an LC tank circuit is calculated using the standard formula,

here, f = Resonant frequency in Hz, L = Inductance in Henrys, C = Capacitance in Farads.

